카테고리 없음
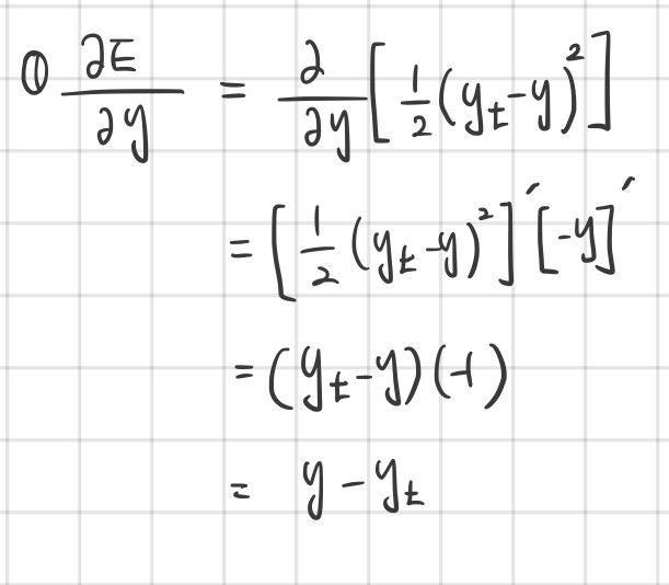
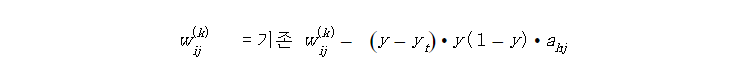
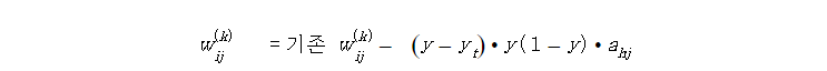
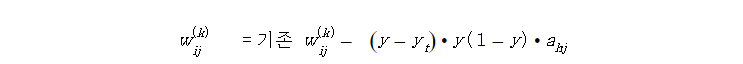
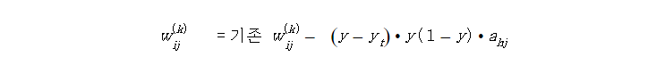
오차 역전파를 직접 계산해보자! - (3) 은닉층 가중치 업데이트
알디노
2021. 3. 24. 10:37
【1】Deep Learning 시작하기_오차 역전파가 중요하다!
오차 역전파를 직접 계산해보자! - (3) 은닉층 가중치 업데이트










작성자 홍다혜 ghdek11@gmail.com / 이원재 wonway333@gmail.com