BLOG/딥러닝
오차 역전파를 직접 계산해보자 - (2) 오차 구하기
알디노
2021. 3. 24. 10:34
【1】Deep Learning 시작하기_오차 역전파가 중요하다!
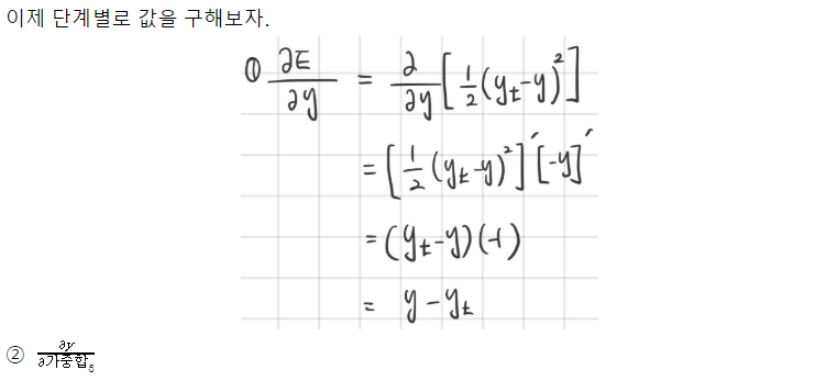
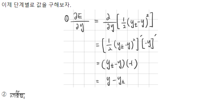
오차 역전파를 직접 계산해보자 - (2) 오차 구하기








작성자 홍다혜 ghdek11@gmail.com / 이원재 wonway333@gmail.com