【1】Deep Learning 시작하기_최적화가 가장 중요하다!
RMSProp
“아다그라드, 아직 갈 길이 먼데 보폭이 점점 작아지네? 상황을 보면서 줄여야지!”
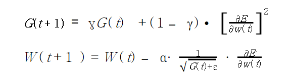
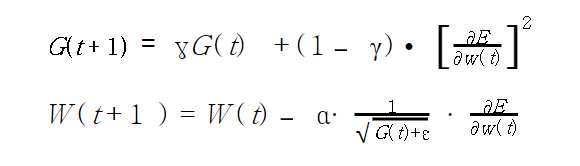
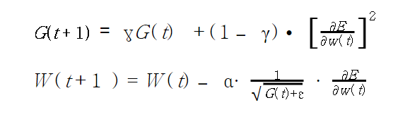
RMSProp은 딥러닝의 아버지라 불리는 제프리 힌튼이 소개한 방법으로 아다그라드의 단점을 해결하기 위해 등장했다. RMSProp은 모든 기울기를 단순히 더하는 것이 아니라 최신 기울기 정보를 더 크게 반영하는 원리이다. 과거의 정보는 약하게 반영하고 최신의 정보를 크게 반영하기 위해 지수이동평균(Exponential Moving Average, EMA)을 사용했다. 이를 수식으로 나타내면 다음과 같다.

새로운 변수 γ을 추가하여 G(t) 값이 무한히 커지는 것을 방지하면서 γ가 작을수록 최신의 정보(기울기)를 더 크게 반영한다.
작성자 홍다혜 ghdek11@gmail.com / 이원재 wonway333@gmail.com
'BLOG > 딥러닝' 카테고리의 다른 글
| Adam Optimizer (Adaptive Moment Estimation) (0) | 2021.03.24 |
|---|---|
| Adadelta Optimizer (Adaptive Delta) (0) | 2021.03.24 |
| Adagrad Optimizer (Adaptive Gradient) (0) | 2021.03.24 |
| Momentum Optimizer (0) | 2021.03.24 |
| 최적화(Optimizer)가 뭐였지? 확률적 경사 하강법(SGD) (0) | 2021.03.24 |