【1】Deep Learning 시작하기_오차 역전파가 중요하다!
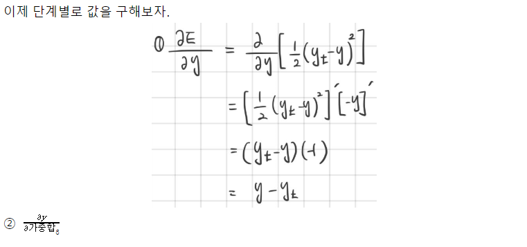
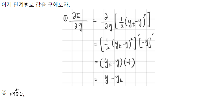
오차 역전파를 직접 계산해보자 - (2) 오차 구하기








작성자 홍다혜 ghdek11@gmail.com / 이원재 wonway333@gmail.com
'BLOG > 딥러닝' 카테고리의 다른 글
| I am Hinton! 기울기 소실 사건을 해결하다! - 제한 볼츠만 머신(RBM) (0) | 2021.03.24 |
|---|---|
| 핑거 스냅? 기울기가 사라진다! (0) | 2021.03.24 |
| 오차 역전파를 직접 계산해보자! - (1) 출력층의 가중치 업데이트 (0) | 2021.03.24 |
| 오차 역전파란 무엇인가? (0) | 2021.03.24 |
| 경사하강법(Gradient Descent Optimizer) (0) | 2021.03.24 |